Home

Artikler
Robot
Netværk
Tele
Installationer
Lys
Komponenter
Elektronik
Cases
Håndværk
Elektroteknik
Historien
Af interesse
Diverse
Opslag
Billedopslag
FAQ
Video
Links
Om

Tilpasset søgning

Beregninger på en modstandsterning

Dokument oprettet:16 Okt 2007
Senest ændret:24 Apr 2021
Forfatter:Cubus

Hvor stor er modstanden mellem to diagonale hjørner på en terningstruktur, hvis 12 kanter er bygget op af 12 ens modstande, fx 12 mod­stande på 1 ohm? Vil modstanden mellem de to punkter være større eller mindre end 1 ohm?

Når kredsløbet tegnes op er der både serie- og parallel­for­bind­elser, men det kan ikke lade sig gøre på simpel vis at reducere disse forbindelser til en 'erstatningsmodstand'. Hvordan kan den ækvivalente modstand regnes ud?

Beregning ved knudepunktsmetoden

Knudepunktsmetoden egner sig både til beregning på elektriske kredsløb, der kan tegnes i planet, og kredsløb, der udstrækker sig i rummet.

På terningen nedenfor er knudepunkterne navngivet. Et hjørne på terningen er valgt som nulpunkt. Hjørnet diagonalt overfor er, af hensyn til beregningerne, forbundet til en strøm­gene­ra­tor, der leverer fx 1 A (en strøm­generator er karak­teriseret ved at levere en konstant strøm uafhængig af belastningen, til forskel fra en spændingsgenerator, der leverer en konstant spænding).

Ved løsning af det ligningssystem, der opstilles ved knudepunktsmetoden, opnås der viden om potentialerne i de for­skellige knudepunkter i forhold til det fastsatte nulpunkt. Herefter kan spændings­forskellen mellem nulpunktet og det diagonalt modstående hjørne deles med den valgte strøm­styrke ind i kredsløbet, hvorved den resulterende mod­stand mellem de to hjørner bestem­mes, jf Ohms lov.


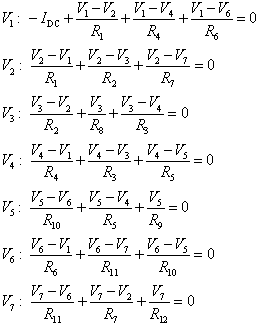
Det ene hjørne på modstandsterningen er valgt som nulpunkt og de øvrige knude­punkter er navngivet V1 til V7. Knudepunktet diagonalt over for det valgte nulpoten­tiale er tilsluttet en strømgenerator, der fx vælges med en strømstyrke på 1 ampere.


Opskrevet med symboler, kommer ligningssystemet for de 7 knudepunkter til at se ud som neden­stående. Lig­ningerne bygger på Kirchhoff's strømlov, hvilket er nærmere beskrevet i opslaget om knudepunktsmetoden. I op­skrivningen af de enkelte ligninger antages strømmene at gå bort fra det knudepunkt, der skrives en ligning for. Dette er årsagen til at IDC bliver skrevet med negativt fortegn i ligningen for knudepunktet V1. Strømgeneratoren sender, som det ses på billedet ovenfor, strømmen mod dette knude­punkt.



Det er i artiklen om Kirchhoff's love beskrevet, hvordan et ligningssystem med flere ubekendte kan løses, ved håndkraft eller med regnemaskine.

I dette eksempel antages alle modstandene at være på 1 ohm og IDC sættes til 1 ampere. Lignings­systemet for den aktuelle modstandsterning under disse forudsætninger bliver som følger.



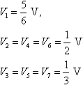
Løsning af ligningssystemet giver følgende potentialer i de forskellige knudepunkter, som nævnt under forud­sætning af, at der sendes en strømstyrke på 1 A gennem de diagonale hjørner på modstands­terningen.



Den ækvivalente erstatningsmodstand bestemmes.



Beregning ved maskestrømsmetoden

Maskestrømsmetoden kræver, at kredsløbet, der skal regnes på, kan udlægges i planet. Dvs, at kredsløbet skal kunne tegnes op, uden at nogle ledningsforbindelser krydser andre lednings­forbind­elser. Det kan godt lade sig gøre at tegne selve modstandsterningen i planet uden at nogle lednings­veje krydses, men det lader sig ikke gøre også at forsyne to diagonale hjørner med en spændingskilde uden krydsninger. Maskestrømsmetoden er derfor ikke egnet.

Beregning ved masker og loops

Opgaven kan løses ved anvendelse af principperne nævnt i artiklen om Kirchhoff's love. Dvs der udlægges et antal masker og loops så alle strømveje i kredsløbet er dækket ind. Herefter gættes der på nogle strømretninger i knude­punkterne. Slutteligt opstilles et sæt ligninger baseret på Kirchhoff's spændings- og strømlov.


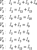
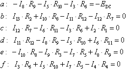
Der er udlagt et antal masker og loops (a-f) med en valgt regneretning, så alle strømveje er dækket ind. Endvidere er der forbundet en spændingskilde, fx valgt med en spænding på 1 volt, mellem to diagonale hjørner på den udfladede modstandsterning. Der er gættet på nogle strømretninger i alle knude­punkt­erne (0 og V1 til V7). Det resulterer i ikke mindre end 13 ukendte strømme, I1 til I13.


Det er strømstyrken I1, der har interesse. Spændingforsyningen på ovenstående tegning vælges fx til at være på 1 volt. Ved at bestemme strømstyrken I1 gennem spændingskilden, kan den ækvivalente modstand mellem to dia­go­nale hjørner udregnes vha Ohms lov.

For at finde 13 ubekendte kræves 13 uafhængige ligninger. De første 6 ligninger opstilles vha Kirchoff's spændingslov ud fra de 6 strømsløjfer, a til f, der er optegnet.



De sidste 7 af de 13 ligninger dannes vha Kirchhoffs strømlov. Strømloven, der siger, at de strømme der går mod et knudepunkt må svare til de strømme der går derfra, opstilles for 7 af knudepunkterne (V1 til V7).



Løsningen af ligningssystemet, hvor -EDC sættes til -1 V, og alle modstandsværdierne sættes til 1 Ω, er en strøm­styrke I1 på 6/5 A.

Den ækvivalente modstand mellem to diagonale hjørner udregnes.



I en modstandsterning, opbygget af 12 ens modstande, vil den ækvivalente modstand mellem to diagonale hjørner altid være på 5/6 dele af en enkelt modstands størrelse.

Se eksterne links for en simplere ligningsopstilling med kun 6 ligninger samt en (hurtig) løsning af problemet baseret på logisk tanke­gang.


Interne links til emner i denne artikel: Eksterne links til emner i denne artikel:


Home | Copyright © 2002-2025 Cubus | cubusadsldk@gmail.com