Home

Artikler
Robot
Netværk
Tele
Installationer
Lys
Komponenter
Elektronik
Cases
Håndværk
Elektroteknik
Historien
Af interesse
Diverse
Opslag
Billedopslag
FAQ
Video
Links
Om

Tilpasset søgning

Ækvivalenter til serie- og parallelforbindelser

Dokument oprettet:25 Jan 2009
Senest ændret:24 Apr 2021

En kombination af resistanser R i serie- eller parallelforbindelse kan erstattes af en enkelt ækvivalent resistans Req. Det betyder, at den givne modstand [Ω] målt på tilslutningsterminalerne på de to ækvivalente kredsløb er præcis den samme. Beregningsprincipperne gælder også for impedanser Z.

Ækvivalent til serieforbindelse

Den ækvivalente resistans for et antal modstande i serie er lig med summen af de enkelte modstandsværdier.

Eksempel

Et eksempel på beregning af den ækvivalente resistans for 3 modstande i serie.
Det er karakteristisk, at den ækvivalente resistans er større end den største af de resistanser, der indgår i serieforbindelsen.

Ækvivalent til parallelforbindelse

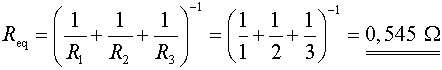
Den reciprokke værdi af den ækvivalente resistans er lig med summen af de reciprokke resistanser, der indgår i parallelforbindelsen.
Ovenstående formel er en generel formel, der kan anvendes uanset antallet af parallelle resistanser.

To resistanser i parallel

I det tilfælde, at der kun indgår to resistanser i parallelforbindelsen, kan følgende formel anvendes.
En huskeregel for, hvorvidt det er produktet foroven og summen forneden eller omvendt, er at tænke på, at enheden for den korrekte formel gerne skal komme ud i ohm.

For ovenstående formel bliver den resulterende enhed [Ω]2/[Ω] lig med [Ω].

Summeres der i stedet fejlagtigt i tælleren bliver enheden [Ω]/[Ω]2 lig med 1/[Ω]. Dette reciprokke resultat svarer til ledningsevnen G, der måles i siemens [S]. Ledningsevne ses også benævnt mho, ohm stavet bagfra.

Eksempel

Et eksempel på beregning af den ækvivalente resistans for 3 modstande i parallel.
Det er karakteristisk, at den ækvivalente resistans er mindre end den mindste af de resistanser, der indgår i parallelforbindelsen.


Interne links til emner i dette opslag: Eksterne links til emner i dette opslag:


Home | Copyright © 2002-2026 Cubus | cubusadsldk@gmail.com