Home

Artikler
Robot
Netværk
Tele
Installationer
Lys
Komponenter
Elektronik
Cases
Håndværk
Elektroteknik
Historien
Af interesse
Diverse
Opslag
Billedopslag
FAQ
Video
Links
Om

Tilpasset søgning

Trekant-stjerne transformation

Dokument oprettet:8 Jul 2008
Senest ændret:24 Apr 2021

Tre resistanser sammensat i en Δ-konfiguration kan substitueres med tre resistanser sammensat i en Y-konfiguration i den betydning, at den målte modstand mellem to ens placerede terminaler i de to konfigura­tioner er præcis den samme. Det betyder, at de to konfigurationer vil udgøre den samme belastning ved ensartet spændingsforsyning.

En transformation den modsatte vej kan naturligvis også lade sig gøre.

Omformningen kan fx anvendes ved løsning af et elektrisk kredsløb, som måske ikke ellers umiddelbart kan løses, fx bestemmelse af en ækvivalent resistans mellem to punkter.

Formlerne kan også anvendes for impedanser Z (skift R i formlerne ud med Z).

Fra trekant til stjerne

Resistanserne i en Y-konfiguration, udtrykt ved resistanserne i en ækvivalent Δ-konfiguration, er som følger:
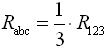
For det tilfælde, at resistanserne R1, R2 og R3 er lige store, lig med R123, kan transformationen til stjernekonfiguration, med Ra lig med Rb lig med Rc lig med Rabc, findes som følger:

Fra stjerne til trekant

Resistanserne i en Δ-konfiguration, udtrykt ved resistanserne i en ækvivalent Y-konfiguration, er som følger:
For det tilfælde, at resistanserne Ra, Rb og Rc er lige store, lig med Rabc, kan transformationen til trekantkonfiguration, med R1 lig med R2 lig med R3 lig med R123, findes som følger:

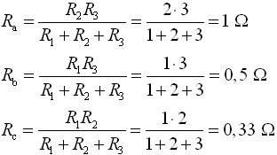
Eksempel på anvendelse

Hvad er den ækvivalente modstand mellem punkt A og B i nedenstående konfiguration af resistanser?
Det lader sig ikke gøre at reducere kredsløbet til en enkelt resistans ved hjælp af simple serie- og parallelomdannelser mellem terminal A og terminal B. Ved at transformere den øverste trekant (eller den nederste) om til en stjerne bliver kredsløbet imidlertid til at regne på ved simple serie- og parallelomdannelser.

De transformerede resistanser for stjernekonfigurationen af den øverste trekant findes vha formlerne for Δ- til Y-transformation.

Det transformerede kredsløb kommer til at se ud som følger:
Den ækvivalente modstand mellem terminal A og terminal B kan nu findes ved simple serie- og parallelomdannelser. Det resulterer i en ækvivalent resistans på 3,44 ohm mellem de to terminaler.

Udledning af formler

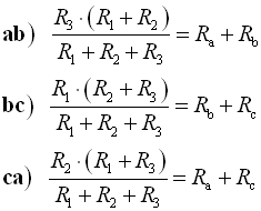
Udgangspunktet for udledning af formlerne er et sæt ligninger, der på den ene side af lighedstegnet har et udtryk for den ækvivalente resistans mellem to terminaler for en Δ-kobling, og på den anden side af lighedstegnet har den ækvivalente resistans mellem de samme to terminaler for en stjernekobling.

Mellem terminalerne a og b på skitsen til højre ses den ækvivalente resistans for trekant­kon­figu­rationen at bestå af to serieforbundne resistanser, R1 og R2, i parallel­for­bindelse med R3.

Mellem de samme terminaler a og b ses den ækvivalente resistans for stjerne­konfigurationen at udgøres af Ra og Rb i serie.

Der opstilles 3 ligninger med udgangspunkt i terminalerne ab, bc og ca.

Udledning Δ til Y
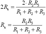
Ved en række matematiske manipulationer af ovenstående ligninger udledes formlen for Ra udtrykt ved R1, R2 og R3, altså fra Δ til Y.

Ra isoleres i den første ligning ab.

Rb substitueres med udtrykket for Rb isoleret i den anden ligning bc.
Rc substitueres med udtrykket for Rc isoleret i den tredje ligning ca.
Det drejer sig nu blot om at få Ra isoleret i ovenstående udtryk. Parenteser ophæves.
Højresiden sættes på fælles brøkstreg.
Der ganges ind i parenteser.
En hel del led i tælleren forsvinder og endelig tilvejebringes formlen for Ra i stjernekoblingen udtrykt ved R1, R2 og R3 i trekantkoblingen.
Pga symmetrien i problemstillingen kan de øvrige to formler for Rb og Rc findes på lignende måde.

Udledning Y til Δ
For udledning af formlerne for Y til Δ-transformation kan der tages udgangspunkt i de endelige formler for Δ til Y-transformation, hvoraf den ene blev udledt ovenfor.
Formlen for Ra deles med Rb og Ra deles med Rc.
Ved at substituere ovenstående udtryk for R2 og R3 ind i en af de oprindelige ligninger for modstanden mellem to punkter ved henholdsvis trekant- og stjernekonfiguration, opnås et udtryk, hvor R1 kan findes, udtrykt ved Ra, Rb og Rc.
Opgaven går nu blot ud på at få isoleret R1 i ovenstående udtryk. Brøken forkortes med R1.
Der findes fællesnævnere i leddene i tæller og nævner i brøken og der sættes på fælles brøkstreg.
RbRc forsvinder i brøken.
R1 isoleres.
Der deles med Rb+Rc i tæller og nævner i brøken.
Der er herved opnået et udtryk for R1 svarende til den fremsatte formel. Pga symmetrien i opgaven kan de øvrige to formler for Y til Δ transformation findes på lignende vis.


Interne links til emner i dette opslag: Eksterne links til emner i dette opslag:


Home | Copyright © 2002-2026 Cubus | cubusadsldk@gmail.com