Home

Artikler
Robot
Netværk
Tele
Installationer
Lys
Komponenter
Elektronik
Cases
Håndværk
Elektroteknik
Historien
Af interesse
Diverse
Opslag
Billedopslag
FAQ
Video
Links
Om

Tilpasset søgning

Strømdelerformlen

Dokument oprettet:27 Jan 2009
Senest ændret:24 Apr 2021

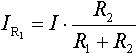
Strømstyrken gennem en af to parallelt koblede resistanser er lig med den samlede strøm I multipliceret med den 'ikke aktuelle' resistans modstandsværdi, delt med summen af de to resistanser.

Alternativ strømdelerformel

Følgende formel er, udover tilfældet med to parallelle resistanser, også gældende når strømmen deles mellem flere end to parallelle resistanser.

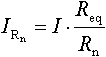
Strømstyrken gennem den n'te parallelle resistans IRn er lig med den samlede strømstyrke I multipliceret med den ækvivalente resistans Req for de parallelt koblede resistanser, delt med den n'te resistans Rn.

Eksempel

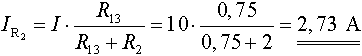
Et eksempel på beregning af strømstyrken gennem R2 i en parallelkobling af tre resistanser, der tilsammen deler en strømstyrke I på 10 ampere.
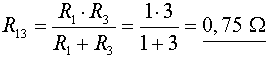
Anvendes den første strømdelerformel må den ækvivalente resistans R13 for R1 og R3 findes først, eftersom der er mere end to resistanser i parallelkoblingen.
Kredsløbet kan nu reduceres til to parallelle resistanser, hvorved den først angivne strømdelerformel bliver anvendelig.
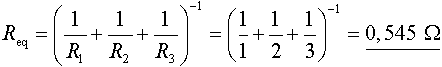
Ved anvendelse af den alternative strømdelerformel findes først den ækvivalente resistans Req for de 3 resistanser i parallel.
Herefter kan tallene sættes ind i den alternative strømdelerformel.



Interne links til emner i dette opslag: Eksterne links til emner i dette opslag:


Home | Copyright © 2002-2026 Cubus | cubusadsldk@gmail.com